在线业务客服
在线业务客服
在线技术客服
在线售后客服
九州风机|HGF4-72-C式玻璃钢高效防腐离心风机
九州风机|HGF4-72-C式玻璃钢高效防腐离心风机


九州风机|九洲普惠|九洲风机|官方网站|该系列风机可输送含酸碱成分及化学成分的腐蚀性气体。所输送气体不允许含有粘性物质、所含粉尘及硬质颗粒≤150mg/m3、气体温度≤60℃、相对湿度≤100%.该系列风机具有强度高、重量轻、不易老化、耐腐蚀性能良好、噪音低、运转平稳等特点。是一种较为理想的通用型防腐风机。该系列风机广泛应用于化工、电镀、氧化、发电厂、化验室、线路板、环保设备等含有腐蚀性气体的场所。

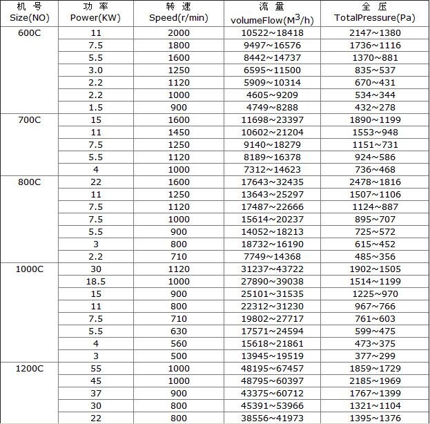
HGF4-72-C型玻璃钢离心通风机参数:


网站首页 | 公司简介 | 产品展示 | 产品导航 | 最新资讯 | 在线留言 | 售后服务 | 联系我们

版权所有 © 佛山市九洲鼓风机有限责任公司    电话:+86-0757-87722909    传真:+86-0757-87722249
粤ICP备19080696号-2 技术支持:上海网站建设

友情链接:金相显微镜 | 液压试验台 | 振动传感器 | 回收中央空调 | 旋臂吊 | 电动推杆 | 工作服团体定制 | 高压反应釜 | 中央空调回收